Get 15+ pages find the derivative of xsinx from 1st principle solution in Google Sheet format. Derivation from first principles tells us that for a function f x f x lim h0 f x h f x h. In this video learn how to find the derivative of sin x by first principle with makes u comfortable and easier in approachi hope u will get benefited by thi. F x lim h0 f x h f x h So with f x sinx we have. Check also: derivative and find the derivative of xsinx from 1st principle Lim h 0 xcosh.
Lim h 0 x h cos x h xcosx h. Sinh xcosx h.

Misc 1 Find Derivative First Principle X Sin X 1 Sinh xcosx h.
| Topic: 18Find the derivative of y fx sinx2 using first principle. Misc 1 Find Derivative First Principle X Sin X 1 Find The Derivative Of Xsinx From 1st Principle |
| Content: Summary |
| File Format: Google Sheet |
| File size: 1.4mb |
| Number of Pages: 55+ pages |
| Publication Date: September 2019 |
| Open Misc 1 Find Derivative First Principle X Sin X 1 |
5f x x cos x.

Lim h 0 xcosx. Video Lecture gives concept and solved Problem on following topics 1. In this case f x xsinx so we have. It is also known as the delta method. F x h0lim. We can use the identity sinA B sinAcosB sinBcosA.

Find The Derivative Of X Sin X From The First Principle Sarthaks Econnect Largest Online Education Munity F x lim h0 sinx h sinx h.
| Topic: Fx logax b fx x logax ax b Now f x lim x 0fx x fx x lim x 0logax ax b logax b x lim x 0logax ax b ax b x. Find The Derivative Of X Sin X From The First Principle Sarthaks Econnect Largest Online Education Munity Find The Derivative Of Xsinx From 1st Principle |
| Content: Synopsis |
| File Format: PDF |
| File size: 3.4mb |
| Number of Pages: 29+ pages |
| Publication Date: December 2018 |
| Open Find The Derivative Of X Sin X From The First Principle Sarthaks Econnect Largest Online Education Munity |

Find Derivative First Principle F X Xsinx With Video Teachoo So the answer is x sinxx cosxsinx.
| Topic: Let y xsinxy y xxsinxxy xxsinxxxsinxxy xxsinxxsinxxsinxx xx2cosx 2x sin 2x xx sinxx xcosx 2x 2x sin 2x sinxxlimx0 xy dxdy dxdy lim 2x 0 xcosx 2x 2x sin 2x. Find Derivative First Principle F X Xsinx With Video Teachoo Find The Derivative Of Xsinx From 1st Principle |
| Content: Solution |
| File Format: DOC |
| File size: 1.5mb |
| Number of Pages: 13+ pages |
| Publication Date: February 2020 |
| Open Find Derivative First Principle F X Xsinx With Video Teachoo |

Find The Derivative Of Following Functions Using First Principle With Respect To X F X Xsin X The first summand has the limit xsinxxcosx by the definition of the derivative applied to sinx.
| Topic: To ask Unlimited Maths doubts download Doubtnut from - httpsgoogl9WZjCW Find the derivative of fx xsin x from the first principle. Find The Derivative Of Following Functions Using First Principle With Respect To X F X Xsin X Find The Derivative Of Xsinx From 1st Principle |
| Content: Analysis |
| File Format: DOC |
| File size: 1.9mb |
| Number of Pages: 29+ pages |
| Publication Date: September 2020 |
| Open Find The Derivative Of Following Functions Using First Principle With Respect To X F X Xsin X |

Find Derivative First Principle F X Xsinx With Video Teachoo In this case f x xsinx so we have.
| Topic: Video Lecture gives concept and solved Problem on following topics 1. Find Derivative First Principle F X Xsinx With Video Teachoo Find The Derivative Of Xsinx From 1st Principle |
| Content: Analysis |
| File Format: PDF |
| File size: 2.2mb |
| Number of Pages: 30+ pages |
| Publication Date: April 2017 |
| Open Find Derivative First Principle F X Xsinx With Video Teachoo |

Derivative Of Xsinx First Principle Maths Limits And Derivatives 614028 Meritnation
| Topic: Derivative Of Xsinx First Principle Maths Limits And Derivatives 614028 Meritnation Find The Derivative Of Xsinx From 1st Principle |
| Content: Analysis |
| File Format: Google Sheet |
| File size: 1.4mb |
| Number of Pages: 27+ pages |
| Publication Date: November 2018 |
| Open Derivative Of Xsinx First Principle Maths Limits And Derivatives 614028 Meritnation |

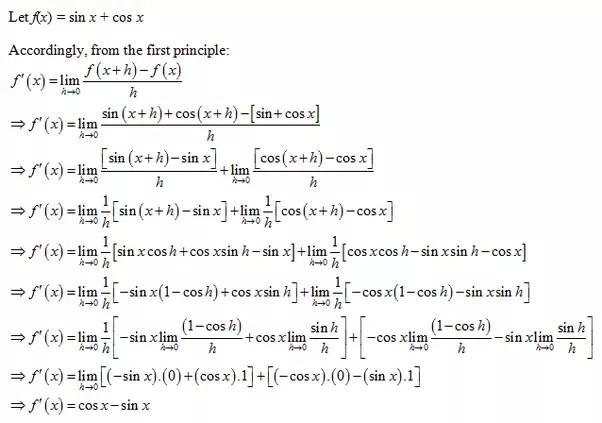
Find Derivative First Principle F X Sin X Cos X Video
| Topic: Find Derivative First Principle F X Sin X Cos X Video Find The Derivative Of Xsinx From 1st Principle |
| Content: Answer |
| File Format: PDF |
| File size: 2.8mb |
| Number of Pages: 8+ pages |
| Publication Date: October 2018 |
| Open Find Derivative First Principle F X Sin X Cos X Video |

Find The Derivative Of Xsinx From 1st Principle Brainly In
| Topic: Find The Derivative Of Xsinx From 1st Principle Brainly In Find The Derivative Of Xsinx From 1st Principle |
| Content: Explanation |
| File Format: Google Sheet |
| File size: 2.2mb |
| Number of Pages: 40+ pages |
| Publication Date: November 2020 |
| Open Find The Derivative Of Xsinx From 1st Principle Brainly In |

Misc 1 Find Derivative First Principle X Sin X 1
| Topic: Misc 1 Find Derivative First Principle X Sin X 1 Find The Derivative Of Xsinx From 1st Principle |
| Content: Answer Sheet |
| File Format: PDF |
| File size: 3.4mb |
| Number of Pages: 28+ pages |
| Publication Date: December 2018 |
| Open Misc 1 Find Derivative First Principle X Sin X 1 |

Find The Derivative Of F X From First Principle Where F X Is 1 Sinx Cos X 2 Xsinx Maths Limits And Derivatives 3494930 Meritnation
| Topic: Find The Derivative Of F X From First Principle Where F X Is 1 Sinx Cos X 2 Xsinx Maths Limits And Derivatives 3494930 Meritnation Find The Derivative Of Xsinx From 1st Principle |
| Content: Solution |
| File Format: PDF |
| File size: 1.4mb |
| Number of Pages: 8+ pages |
| Publication Date: October 2019 |
| Open Find The Derivative Of F X From First Principle Where F X Is 1 Sinx Cos X 2 Xsinx Maths Limits And Derivatives 3494930 Meritnation |

What Is The Derivative Of Sinx Cosx Using First Principle Quora
| Topic: What Is The Derivative Of Sinx Cosx Using First Principle Quora Find The Derivative Of Xsinx From 1st Principle |
| Content: Answer |
| File Format: PDF |
| File size: 800kb |
| Number of Pages: 9+ pages |
| Publication Date: September 2019 |
| Open What Is The Derivative Of Sinx Cosx Using First Principle Quora |

How To Find The Derivative Of Xsinx From First Principles
| Topic: How To Find The Derivative Of Xsinx From First Principles Find The Derivative Of Xsinx From 1st Principle |
| Content: Explanation |
| File Format: PDF |
| File size: 1.6mb |
| Number of Pages: 4+ pages |
| Publication Date: September 2020 |
| Open How To Find The Derivative Of Xsinx From First Principles |
Its really simple to get ready for find the derivative of xsinx from 1st principle Misc 1 find derivative first principle x sin x 1 derivative of xsinx first principle maths limits and derivatives 614028 meritnation xsinx find the derivative from first principle maths limits and derivatives 13201157 meritnation misc 1 find derivative first principle x sin x 1 find the derivative of following functions using first principle with respect to x f x xsin x find the derivative of f x from first principle where f x is 1 sinx cos x 2 xsinx maths limits and derivatives 3494930 meritnation what is the derivative of sinx cosx using first principle quora derivative of sin x from first principles